Просмотры:96 Автор:Pедактор сайта Время публикации: 2024-10-17 Происхождение:Работает
Самый простой двигатель — это «двигатель постоянного тока (щеточный двигатель)». Поместив катушку в магнитное поле и пропуская через нее ток, катушка будет отталкиваться магнитными полюсами с одной стороны и одновременно притягиваться другой стороной, и будет продолжать вращаться под этим действием. Во время вращения ток, текущий через катушку, меняется на противоположный, заставляя ее вращаться непрерывно. Есть часть двигателя, называемая «коллектором», которая приводится в движение «щетками», которые расположены над «рулевым механизмом» и постоянно движутся при вращении. Изменяя положение щеток, можно менять направление тока. Коллектор и щетки являются незаменимыми конструкциями для вращения двигателя постоянного тока.

Коммутатор переключает поток тока в катушке, меняя направление полюсов так, чтобы они всегда вращались вправо. Щетки подают мощность на коллектор, который вращается вместе с валом.
Мы классифицировали двигатели по типу питания и принципу вращения (рис. 2). Давайте кратко рассмотрим характеристики и применение каждого типа двигателя.

Двигатели постоянного тока (щеточные двигатели), которые просты и удобны в управлении, часто используются для открытия и закрытия лотков для оптических дисков в бытовой технике. Они также используются в автомобилях для открытия и закрытия зеркал с электроприводом и управления направлением движения. Хотя он недорогой и может использоваться во многих областях, у него есть свои недостатки. Так как коллектор соприкасается со щетками, срок его службы невелик и щетки необходимо заменять периодически или по гарантии.
Шаговый двигатель будет вращаться в зависимости от количества подаваемых на него электрических импульсов. Величина движения зависит от количества подаваемых на него электрических импульсов, что делает его пригодным для регулировки положения.
Его часто используют в домашних условиях для «подачи бумаги в факсимильные аппараты и принтеры» и т. д. Поскольку этапы подачи факсимильного аппарата зависят от технических характеристик (гравировка, крупность), шаговый двигатель вращается с количеством электрических импульсов. очень прост в использовании. Легко решить проблему, заключающуюся в том, что машина временно останавливается после прекращения сигнала. Синхронные двигатели, число оборотов которых меняется в зависимости от частоты источника питания, используются в таких устройствах, как «поворотные столы для микроволновых печей».
Моторный агрегат имеет шестеренчатый редуктор для получения количества оборотов, подходящего для разогрева пищи. На асинхронные двигатели также влияет частота источника питания, но частота и количество оборотов не совпадают. Раньше эти двигатели переменного тока использовались в вентиляторах или стиральных машинах.
Как видите, в нескольких областях активно используются самые разнообразные двигатели. Каковы характеристики двигателей BLDC (бесщеточные двигатели), что делает их такими универсальными?
«БЛ» в Двигатели BLDC означает «бесщеточный», что означает, что «щеток» в двигателях постоянного тока (щеточных двигателях) больше нет. Роль щеток в двигателях постоянного тока (щеточных двигателях) заключается в подаче питания на катушки ротора через коммутатор. Так как же двигатель BLDC без щеток подает питание на катушки ротора? Оказывается, в двигателях BLDC в качестве ротора используются постоянные магниты, а катушки в роторе нет. Поскольку в роторе нет катушек, нет необходимости в коллекторах и щетках для подачи питания на двигатель. Вместо этого катушка используется в качестве статора (рис. 3).
Магнитное поле, создаваемое фиксированными постоянными магнитами в двигателе постоянного тока (щеточном двигателе), не перемещается и вращается за счет управления магнитным полем, создаваемым катушкой (ротором) внутри него. Количество оборотов изменяется путем изменения напряжения. Ротор двигателя BLDC представляет собой постоянный магнит, и ротор вращается за счет изменения направления магнитного поля, создаваемого катушками вокруг него. Вращение ротора контролируется путем регулирования направления и величины тока, протекающего через катушки.

Двигатели BLDC имеют три катушки на статоре, каждая с двумя проводами, всего в двигателе шесть выводных проводов. На самом деле обычно требуется только три провода, поскольку они подключены внутри, но это все равно на один больше, чем в ранее описанном двигателе постоянного тока (щеточном двигателе). Он не будет двигаться только за счет соединения положительных и отрицательных клемм аккумулятора. О том, как запустить BLDC двигатель будут объяснены во второй части этой серии. На этот раз мы сосредоточимся на преимуществах двигателей BLDC.
Первой характеристикой двигателя BLDC является «высокий КПД». Можно контролировать вращающую силу (крутящий момент) для постоянного поддержания максимального значения, тогда как в двигателях постоянного тока (щеточных двигателях) максимальный крутящий момент может поддерживаться только в течение одного момента во время вращения, а максимальное значение поддерживаться не может. всегда. Если двигатель постоянного тока (щеточный двигатель) хочет получить такой же крутящий момент, как двигатель BLDC, он может только увеличить свой магнит. Вот почему даже небольшой двигатель BLDC может производить большую мощность.
Вторая особенность — «хорошая управляемость», родственная первой. Двигатели BLDCможет получить крутящий момент, количество оборотов и т. д. именно так, как вы хотите, а двигатели BLDC могут точно возвращать заданное количество оборотов, крутящий момент и т. д. Точный контроль подавляет выделение тепла и энергопотребление двигателя. В случае аккумуляторной батареи время езды можно продлить путем тщательного контроля. В дополнение к этому он характеризуется долговечностью и низким электрическим шумом. Вышеуказанные два пункта являются преимуществами бесщеточного режима.
С другой стороны, двигатели постоянного тока (щеточные двигатели) подвержены износу из-за контакта между щетками и коллектором в течение длительного периода времени. Контактирующая часть также генерирует искры. Особенно когда щель коллектора касается щетки, возникает сильная искра и шум. Если вы не хотите, чтобы во время использования создавался шум, можно рассмотреть вариант с двигателем BLDC.
Где обычно используются двигатели BLDC с высоким КПД, универсальным управлением и длительным сроком службы? Они часто используются в продуктах, которые могут использовать свою высокую эффективность и длительный срок службы и используются постоянно. Например, бытовая техника. Люди уже давно используют стиральные машины и кондиционеры. Недавно двигатели BLDC были адаптированы для электрических вентиляторов, и им удалось значительно снизить энергопотребление.
Именно из-за высокого КПД было снижено энергопотребление. Двигатели BLDC также используются в пылесосах. В одном случае за счет изменения системы управления удалось добиться значительного увеличения количества оборотов. Этот пример показывает хорошую управляемость двигателей BLDC.
Двигатели BLDC также используются во вращающейся части жестких дисков, которые являются важными носителями информации. Поскольку это двигатель, который должен работать в течение длительного времени, важна долговечность. Конечно, его целью также является максимальное снижение энергопотребления. Высокий КПД здесь также связан с низким потреблением электроэнергии.
Ожидается, что двигатели BLDC будут использоваться в более широком спектре областей, а также в широком спектре небольших роботов, особенно в «сервисных роботах», которые предоставляют услуги в других областях, помимо производства. «Позиционирование важно для роботов, поэтому не должны ли мы использовать шаговые двигатели, работающие от количества электрических импульсов?» Можно так подумать. Однако с точки зрения управления усилием двигатели BLDC более подходят. Кроме того, если используются шаговые двигатели, на такую конструкцию, как запястье робота, необходимо подать большой ток, чтобы зафиксировать ее в определенном положении. С Двигатели постоянного тока, только необходимая мощность может быть подана в сочетании с внешней силой, что ограничивает потребление энергии.
Его также можно использовать в транспорте. Простые двигатели постоянного тока уже давно используются в электромобилях или гольф-карах для пожилых людей, но в последнее время стали применяться высокоэффективные двигатели BLDC с хорошей управляемостью. Двигатели BLDC также используются в дронах. Особенно в БПЛА с многоосными стойками, поскольку он контролирует положение полета путем изменения количества оборотов пропеллеров, предпочтительными являются двигатели BLDC, которые могут точно управлять вращениями.
Как насчет этого? Двигатели BLDC — это высококачественные двигатели с высоким КПД, хорошим управлением и длительным сроком службы. Однако максимизация мощности двигателей BLDC требует надлежащего контроля. Как это сделать?
Двигатель BLDC с внутренним ротором является типичным типом двигателя BLDC, его внешний вид и внутренняя часть показаны ниже (рис. 1). Щеточный двигатель постоянного тока (далее двигатель постоянного тока) имеет катушку на роторе и постоянный магнит снаружи, в то время как двигатель BLDC имеет постоянный магнит на роторе и катушку снаружи, а двигатель BLCD имеет постоянный магнит без катушки на роторе, поэтому нет необходимости подавать питание на ротор. Это позволяет реализовать «бесщеточный тип» без щеток для подачи питания.
С другой стороны, по сравнению с двигателями постоянного тока, управление становится более сложным. Речь идет не только о подключении кабелей двигателя к источнику питания. Даже количество кабелей разное. Это не то же самое, что «подключение положительной (+) и отрицательной (-) клемм к источнику питания».


Одна катушка размещается в двигателе BLDC с интервалом 120 градусов, всего три катушки, для управления током в фазе или катушке под напряжением.
Как показано на рисунке 2-A, в двигателях BLDC используются три катушки. Эти три катушки используются для генерации магнитного потока при включении и называются U, V и W. Попробуйте подать питание на эту катушку. Путь тока в катушке U (далее называемой «катушкой») записывается как фаза U, V записывается как фаза V, а W записывается как фаза W. Далее посмотрим на фазу U. Давайте посмотрим на фаза U. Когда электричество подается на фазу U, магнитный поток генерируется в направлении стрелки, как показано на рисунке 2-B. Однако на самом деле фазы U, V и W — это не то же самое, что фаза U.
Однако на самом деле все кабели U, V и W подключены друг к другу, поэтому невозможно подать напряжение только на фазу U. Здесь подача питания из фазы U в фазу W будет генерировать магнитный поток в U и W, как показано на рис. 2-C. Два магнитных потока U и W синтезируются в больший магнитный поток, показанный на рис. 2-D. Постоянный магнит будет вращаться так, чтобы этот синтезированный магнитный поток был в том же направлении, что и N-полюс центрального постоянного магнита (ротора).

Поток подается от U-фазы к W-фазе. Сначала, сосредоточив внимание только на U-части катушки, обнаруживается, что создается магнитный поток, показанный стрелками.

Рисунок 2-D: Принцип вращения двигателя BLDC. Передачу электричества из фазы U в фазу W можно рассматривать как создание двух синтезированных магнитных потоков.
При изменении направления синтезированного магнитного потока меняется и постоянный магнит. В зависимости от положения постоянного магнита переключайте фазы, находящиеся под напряжением, на U-фазу, V-фазу и W-фазу, чтобы изменить направление синтезированного магнитного потока. Если эту операцию выполнять непрерывно, то синтезированный магнитный поток будет вращаться, тем самым создавая магнитное поле и вращая ротор.
ИНЖИР. 3 показана связь между фазой под напряжением и синтетическим магнитным потоком. В этом примере при последовательном изменении режима подачи питания от 1 до 6 синтетический магнитный поток будет вращаться по часовой стрелке. Изменяя направление синтезируемого магнитного потока и управляя скоростью, можно управлять скоростью вращения ротора. Метод управления двигателем путем переключения между этими шестью режимами включения называется «120-градусным контролем включения».

Рис. 3. Постоянные магниты ротора будут вращаться так, как будто их притягивает синтетический магнитный поток, в результате чего вращается вал двигателя.
Далее, хотя направление синтезированного магнитного потока поворачивается под напряжением на 120 градусов, существует только шесть различных направлений. Например, если вы измените «режим под напряжением 1» на рис. 3 на «режим под напряжением 2», направление синтетического магнитного потока изменится на 60 градусов. Ротор будет вращаться, как будто его притягивают. Затем, перейдя с «Режима под напряжением 2» на «Режим под напряжением 3», направление синтетического магнитного потока снова изменится на 60 градусов. Ротор снова будет привлечен к этому изменению. Это явление повторится. Движение станет жестким. Иногда это действие также будет вызывать шум.
Именно «синусоидальное управление» устраняет недостатки 120-градусного управления под напряжением и обеспечивает плавное вращение. При 120-градусном регулировании мощности синтезированный магнитный поток фиксируется в шести направлениях. Его контролируют так, чтобы оно постоянно изменялось. В примере на рис. 2-C потоки, генерируемые U и W, имеют одинаковую величину. Однако если можно лучше контролировать U-фазу, V-фазу и W-фазу, каждая катушка может генерировать магнитный поток разной величины, а направление синтезированного магнитного потока можно точно контролировать. Регулируя величину тока каждой из U-фазы, V-фазы и W-фазы, одновременно генерируется синтезированный магнитный поток. Контролируя непрерывную генерацию этого потока, двигатель вращается плавно.

Ток на трех фазах можно контролировать для создания синтетического магнитного потока для плавного вращения. Синтетический магнитный поток может генерироваться в направлении, которое невозможно создать с помощью управления под напряжением 120 градусов.
А как насчет токов на каждой фазе U, V и W? Чтобы было легче понять, вспомните 120-градусный элемент управления и взгляните на него. Посмотрите еще раз на рис. 3. В режиме 1 под напряжением ток течет от U к W; в режиме 2 под напряжением ток течет от U к V. Как видите, всякий раз, когда меняется комбинация катушек, в которых течет ток, направление стрелок синтетического потока также меняется.
Далее рассмотрим режим включения 4. В этом режиме ток течет от W к U, в направлении, противоположном режиму включения 1. В двигатели постоянного токаТакое переключение направления тока осуществляется комбинацией коммутатора и щеток. Однако в двигателях BLDC такой метод контакта не используется. Инверторная схема используется для изменения направления тока. Инверторные схемы обычно используются для управления двигателями BLDC.
Схема инвертора регулирует значение тока путем изменения приложенного напряжения на каждой фазе. Для регулировки напряжения обычно используется ШИМ (PulseWidthModulation = Широтно-импульсная модуляция). ШИМ — это метод изменения напряжения путем регулировки длительности импульса ВКЛ/ВЫКЛ, и что важно, так это изменение соотношения (скважности) ) между временем включения и временем выключения. Если коэффициент включения высок, можно получить тот же эффект, что и при увеличении напряжения. Если коэффициент включения уменьшается, получается тот же эффект, что и при уменьшении напряжения (рис. 5).
Для реализации ШИМ теперь доступны микрокомпьютеры, оснащенные специальным оборудованием. Для выполнения синусоидального управления необходимо контролировать напряжения трех фаз, поэтому программное обеспечение немного сложнее, чем управление под напряжением на 120 градусов, при котором только две фазы находятся под напряжением. Инвертор — это схема, необходимая для управления двигателем BLDC. Инверторы также используются в двигателях переменного тока, но можно предположить, что почти все двигатели BLDC используются в так называемых бытовых приборах «инверторного типа».

Рисунок 5. Зависимость между выходом ШИМ и выходным напряжением.
Измените время включения в определенное время, чтобы изменить среднеквадратичное значение напряжения.
Чем дольше время включения, тем ближе среднеквадратичное значение к напряжению при подаче 100% напряжения (время включения).
Двигатели BLDC с использованием датчиков положения. Выше представлен обзор управления двигателями BLDC, которые изменяют направление синтезированного магнитного потока, генерируемого катушками, вызывая соответствующее изменение постоянных магнитов ротора.
На самом деле есть еще один момент, не упомянутый в приведенном выше описании. То есть наличие датчиков в BLDC моторах. Двигатели BLDC управляются в зависимости от положения (угла) ротора (постоянного магнита). Поэтому необходим датчик для определения положения ротора. Если нет датчика, определяющего направление постоянного магнита, ротор может повернуться в неожиданном направлении. Это не тот случай, когда есть датчик для предоставления информации.
В таблице 1 представлены основные типы датчиков определения положения в двигателях BLDC. В зависимости от метода управления необходимы разные датчики. Для контроля подачи напряжения на 120 градусов предусмотрен датчик Холла, который может вводить сигнал каждые 60 градусов, чтобы определить, на какую фазу должно быть подано напряжение. С другой стороны, для «векторного управления» (описанного в следующем разделе), которое точно управляет синтезированным магнитным потоком, более эффективны высокоточные датчики, такие как угловые датчики или фотоэлектрические энкодеры.
Использование этих датчиков позволяет определять положение, но есть некоторые недостатки. Датчики менее устойчивы к пыли, поэтому требуется техническое обслуживание. Также сокращается температурный диапазон, в котором их можно использовать. Использование датчиков или добавление проводки для этой цели приводит к увеличению затрат, а высокоточные датчики по своей сути дороги. Это привело к введению «безсенсорного» метода. Он не использует датчик для определения положения, что позволяет контролировать затраты и устранять необходимость в обслуживании датчиков. Однако с целью иллюстрации принципа предполагается, что информация была получена от датчика положения.
| Тип датчика | Основные приложения | Характеристики |
| Датчик Холла | Управление под напряжением 120 градусов | Получает сигнал каждые 60 градусов. Сниженная цена. Не термостойкий. |
| Оптический энкодер | Синусоидальное управление, векторное управление | Существует два типа: инкрементальный тип (известно расстояние, пройденное от исходного положения) и абсолютный тип (известен угол текущего положения). Разрешение высокое, но пыленепроницаемость слабая. |
| Датчик угла | Синусоидальное управление, векторное управление | Высокое разрешение. Может использоваться даже в суровых и суровых условиях. |
Таблица 1. Типы и характеристики датчиков, предназначенных для определения местоположения
Синусоидальное управление плавно меняет направление синтезированного магнитного потока, подавая питание на 3 фазы, поэтому ротор будет вращаться плавно. Управление подачей напряжения на 120 градусов переключает 2 фазы U, V-фазу и W-фазу для вращения двигателя, тогда как синусоидальное управление требует точного управления токами в трех фазах. Более того, контрольное значение представляет собой значение переменного тока, которое постоянно меняется, что затрудняет управление.
Именно здесь на помощь приходит векторное управление. Векторное управление упрощает управление, вычисляя значения переменного тока трех фаз как значения постоянного тока двух фаз посредством преобразования координат. Однако расчеты векторного управления требуют информации о положении ротора с высоким разрешением. Существует два метода определения положения, а именно метод с использованием датчиков положения, таких как фотоэлектрические энкодеры или датчики угла, и бездатчиковый метод, который экстраполирует текущие значения каждой фазы. Такое преобразование координат позволяет напрямую контролировать значение тока, связанное с крутящим моментом (силой вращения), тем самым реализуя эффективное управление без избыточного тока.
Однако векторное управление требует преобразования координат с использованием тригонометрических функций или сложной вычислительной обработки. Поэтому в большинстве случаев в качестве управляющих микрокомпьютеров используются микрокомпьютеры с высокой вычислительной мощностью, например микрокомпьютеры, оснащенные FPU (блоками с плавающей запятой).
Бесщеточный двигатель постоянного тока (BLDC: BrushlessDirectCurrentMotor), также известный как электронно-коммутируемый двигатель (ECM или EC-двигатель) или синхронный двигатель постоянного тока, представляет собой тип синхронного двигателя, в котором используется источник питания постоянного тока (DC).
Бесщеточный двигатель постоянного тока (BLDC: Бесщеточный двигатель постоянного тока) по сути представляет собой синхронный двигатель с постоянными магнитами и обратной связью по положению, который использует входную мощность постоянного тока и инвертор для преобразования ее в трехфазный источник питания переменного тока. А бесщеточный двигатель (BLDC: Бесщеточный двигатель постоянного тока) представляет собой двигатель самокоммутируемого типа (с самостоятельным переключением направления), поэтому им сложнее управлять.
https://www.holrymotor.com/brushless-motors.html
Управление двигателем BLDC (BrushlessDirectCurrentMotor) требует знания положения ротора и механизма, с помощью которого двигатель выпрямляется и управляется. Для управления скоростью с обратной связью существуют два дополнительных требования: измерение скорости ротора/или тока двигателя и сигнал ШИМ для управления мощностью скорости двигателя.
Двигатели BLDC (BrushlessDirectCurrentMotor) могут использовать сигналы ШИМ с боковой или центральной ориентацией в зависимости от требований приложения. В большинстве приложений, требующих только операции изменения скорости, будут использоваться шесть отдельных сигналов ШИМ, выровненных по сторонам. Это обеспечивает самое высокое разрешение. Если приложение требует позиционирования сервера, энергетического торможения или реверсирования мощности, рекомендуется использовать дополнительные сигналы ШИМ с центральным выравниванием.
Для определения положения ротора двигатели BLDC (BrushlessDirectCurrentMotor) используют датчики Холла, обеспечивающие определение абсолютного положения. Это приводит к использованию большего количества проводов и более высокой стоимости. Бездатчиковое управление BLDC устраняет необходимость в датчиках Холла и вместо этого использует противоэлектродвижущую силу двигателя (электродвижущую силу) для прогнозирования положения ротора. Бездатчиковое управление имеет решающее значение для недорогих устройств с регулируемой скоростью, таких как вентиляторы и насосы. Бездатчиковое управление также требуется для компрессоров холодильников и кондиционеров, когда используются двигатели BLDC (бесщеточные двигатели постоянного тока).
Существуют самые разные двигатели, и двигатель BLDC — самый идеальный из доступных сегодня двигателей. Он сочетает в себе преимущества двигателей постоянного тока и двигателей переменного тока с хорошими характеристиками регулировки двигателей постоянного тока и преимуществами двигателей переменного тока, такими как простая конструкция, отсутствие коммутационной искры, надежная работа и простота обслуживания. Поэтому он очень популярен на рынке и широко используется в автомобилях, бытовой технике, промышленном оборудовании и других областях.
Бесщеточный двигатель постоянного тока устраняет присущие щеточному двигателю постоянного тока дефекты и заменяет механический коммутатор электронным коммутатором, поэтому бесщеточный двигатель постоянного тока имеет характеристики двигателя постоянного тока с хорошими характеристиками регулирования скорости, а также имеет преимущества двигателя переменного тока с простой конструкцией, без коммутации. искры, надежная работа и простота обслуживания.
Бесщеточный двигатель постоянного тока (BrushlessDirectCurrentMotor) на сегодняшний день является наиболее идеальным двигателем для регулирования скорости. Он сочетает в себе преимущества двигателей постоянного тока и двигателей переменного тока с хорошими характеристиками регулировки двигателей постоянного тока и преимуществами двигателей переменного тока, такими как простая конструкция, отсутствие коммутационных искр, надежная работа и простота обслуживания.
Бесщеточные двигатели постоянного тока разработаны на основе щеточных двигателей, и их конструкция более сложна, чем у щеточных двигателей. Бесщеточный двигатель постоянного тока состоит из корпуса двигателя и драйвера. В отличие от коллекторного двигателя постоянного тока, бесщеточный двигатель постоянного тока (BrushlessDirectCurrentMotor) не использует механическое щеточное устройство, а использует синхронный двигатель с прямоугольными импульсами и постоянными магнитами с саморегулированием и заменяет коллектор угольной щетки датчиком Холла и использует неодим-железо-бор в качестве материал постоянного магнита ротора. (Следует отметить, что на момент зарождения электродвигателя в прошлом веке возникшие на практике двигатели имели бесщеточную форму.)
Ранние модели электродвигателя впервые появились в 1740-х годах благодаря работе шотландского учёного Эндрю Гордона. Другие ученые, такие как Майкл Фарадей и Джозеф Генри, продолжали разрабатывать первые двигатели, экспериментируя с электромагнитными полями и обнаруживая, как преобразовывать электрическую энергию в механическую.
1832: Изобретение первого коллекторного двигателя постоянного тока.
Первый двигатель постоянного тока, который мог обеспечить достаточную мощность для привода механизмов, был изобретен британским физиком Уильямом Стердженом в 1832 году, но его применение было сильно ограничено из-за его низкой выходной мощности, которая все еще была технически ошибочной.
Следуя по стопам Стерджена, Томас Давенпорт из Вермонта, США, вошел в историю, изобретший в 1834 году первый официальный электродвигатель с батарейным питанием. Это был первый электродвигатель, обладающий достаточной мощностью для выполнения своей задачи, и его изобретение было использовано для питания небольшого электродвигателя. печатный станок. В 1837 году Томас Дэвенпорт и его жена Эмили Дэвенпорт получили первый патент на двигатель постоянного тока.

1886: Изобретение практичного двигателя постоянного тока.
В 1886 году был представлен первый практический двигатель постоянного тока, который мог работать с постоянной скоростью и переменным весом. Его изобретателем был Фрэнк Джулиан Спрэг.

Стоит отметить, что универсальный двигатель представлял собой бесщеточную версию асинхронного двигателя переменного тока с короткозамкнутым ротором, которая не только устраняла искры и потери напряжения на клеммах обмотки, но также позволяла подавать мощность с постоянной скоростью. Однако асинхронный двигатель имел множество непреодолимых недостатков, поэтому развитие моторотехники шло медленно.
В 1887 году Никола Тесла изобрел асинхронный двигатель переменного тока (ACinductionmotor), который год спустя успешно запатентовал. Он не был пригоден для использования в дорожных транспортных средствах, но позже был адаптирован инженерами Westinghouse. В 1892 году был разработан первый практический асинхронный двигатель, за которым последовал вращающийся ротор с стержневой обмоткой, что сделало двигатель пригодным для автомобильного применения.
В 1891 году компания General Electric начала разработку трехфазного асинхронного двигателя (Threephasemotor). Чтобы использовать конструкцию фазного ротора, GE и Westinghouse подписали соглашение о перекрестном лицензировании в 1896 году.
В 1955 году Соединенные Штаты d. Харрисон и другие впервые подали заявку на патент на механическую щетку двигателя постоянного тока с транзисторной коммутационной линией вместо щетки, что официально ознаменовало рождение современного бесщеточного двигателя постоянного тока (BrushlessDirectCurrentMotor). Однако в то время не было устройства определения положения ротора двигателя, двигатель не имел возможности запуска.
1962: Первый бесщеточный двигатель постоянного тока (BLDC) был изобретен благодаря достижениям в области полупроводниковых технологий в начале 1960-х годов. В 1962 году Т.Г.Уилсон и Ф.Трикки изобрели первый двигатель BLDC, который они назвали «твердотельным коммутируемым двигателем постоянного тока». Ключевой элемент бесщеточный двигатель заключалось в том, что для него не требовался физический коммутатор, что делало его наиболее популярным выбором для компьютерных дисководов, роботов и самолетов.
Они использовали элементы Холла для определения положения ротора и управления изменением фазы тока обмотки, чтобы сделать бесщеточные двигатели постоянного тока практичными, но были ограничены емкостью транзистора и относительно низкой мощностью двигателя.
С 1970-х годов, с появлением новых силовых полупроводниковых приборов (таких как GTR, MOSFET, IGBT, IPM), быстрым развитием технологий компьютерного управления (микроконтроллер, DSP, новые теории управления), а также высокопроизводительных редкоземельных материалов с постоянными магнитами (таких как самарий-кобальт, неодим-железо-бор), был быстро разработан бесщеточный двигатель постоянного тока (BrushlessDCMotor). BrushlessDirectCurrentMotor) быстро разрабатывается, и мощность увеличивается. Промышленное развитие, основанное на технологиях, с появлением в 1978 году бесщеточного двигателя постоянного тока Mac Classic и его драйвера, а также исследований и разработок прямоугольных импульсов. бесщеточный двигатель и бесщеточный двигатель постоянного тока с синусоидальной волной. В 80-х годах бесщеточные двигатели действительно начали входить в практическую стадию и быстро развиваться.
Бесщеточный двигатель постоянного тока (BrushlessDirectCurrentMotor) состоит из синхронного двигателя и драйвера, который является типичным мехатронным изделием. Обмотка статора синхронного двигателя в основном выполнена в виде трехфазной симметричной звезды, что очень похоже на трехфазный асинхронный двигатель.
В структуру системы управления БЛДКМ входят три основные части: корпус двигателя, схема управления и схема управления. В рабочем процессе информация о напряжении, токе и положении ротора двигателя собирается и обрабатывается схемой управления для генерации соответствующих сигналов управления, а схема привода приводит в движение корпус двигателя после получения сигналов управления.
Бесщеточный двигатель постоянного тока (BrushlessDirectCurrentMotor) в основном состоит из статора с обмотками катушки, ротора, изготовленного из материала постоянного магнита, и датчика положения. Датчик положения при необходимости также можно оставить ненастроенным.
Конструкция статора двигателя BLDC аналогична конструкции асинхронного двигателя. Он состоит из сложенных друг на друга стальных пластин с осевыми канавками для намотки. Обмотки в BLDC немного отличаются от обмоток обычных асинхронных двигателей.

Как правило, большинство двигателей BLDC состоят из трех обмоток статора, соединенных звездой или в форме буквы «Y» (без нейтрали). Кроме того, в зависимости от соединения катушек обмотки статора подразделяются на трапециевидные и синусоидальные двигатели.

В трапециевидном двигателе и ток возбуждения, и противоэлектродвижущая сила имеют трапециевидную форму (синусоидальную в случае синусоидального двигателя). Обычно двигатели с напряжением 48 В (или меньше) используются в автомобилестроении и робототехнике (гибридные автомобили и роботы-манипуляторы).
Роторная часть двигателя BLDC состоит из постоянных магнитов (обычно магнитов из редкоземельных сплавов, таких как неодим (Nd), самарий-кобальт (SmCo) и неодим-железо-бор (NdFeB).
В зависимости от применения количество полюсов может варьироваться от двух до восьми, при этом северный полюс (N) и южный полюс (S) размещаются поочередно. На диаграмме ниже показаны три различных расположения магнитных полюсов.

Поскольку в двигателях BLDC нет щеток, коммутация осуществляется электроникой. Чтобы вращать двигатель, на обмотки статора необходимо последовательно подавать питание, а положение ротора (т. е. северный и южный полюса ротора) должно быть известно, чтобы точно подать напряжение на определенный набор обмоток статора.
Датчики положения, использующие датчики Холла (работающие по принципу эффекта Холла), обычно используются для определения положения ротора и преобразования его в электрический сигнал. В большинстве двигателей BLDC используются три датчика Холла, встроенные в статор, для определения положения ротора.
Датчики Холла — это тип датчиков, основанных на эффекте Холла, который был впервые обнаружен в 1879 году американским физиком Холлом в металлических материалах, но не использовался, поскольку эффект Холла в металлических материалах был слишком слабым. С развитием полупроводниковой технологии стали использовать полупроводниковые материалы для производства компонентов Холла, поскольку эффект Холла значителен и применялся и развивался. Датчик Холла — это датчик, который генерирует импульс выходного напряжения при прохождении переменного магнитного поля. Амплитуда импульса определяется напряженностью магнитного поля возбуждения. Поэтому датчики Холла не требуют внешнего источника питания.
Выходной сигнал датчика Холла будет высоким или низким в зависимости от того, является ли северный полюс ротора южным полюсом или рядом с северным полюсом. Объединив результаты трех датчиков, можно определить точную последовательность включения питания.
В отличие от коллекторных двигателей постоянного тока, в которых статор и ротор полностью перепутаны, обмотки якоря установлены на стороне статора, а высококачественный материал постоянных магнитов установлен на стороне ротора, конструкция корпуса двигателя BLDCM состоит из обмоток якоря статора. , ротор с постоянными магнитами, датчики положения и трехфазные обмотки расположены равномерно в статорном пространстве двигателя с разницей электрических углов между фазами 120° соответственно. Эта структура отличается от чисто коллекторного двигателя постоянного тока и аналогична структуре обмотки статора двигателя переменного тока, но мощность переменного тока прямоугольной формы подается на двигатель цепью привода во время его работы.
BLDCM выбирает полномостовой, трехфазный, звездообразный, с шестью состояниями, режим проводимости два на два, в котором два МОП-транзистора подаются в цепь возбуждения одновременно, и, соответственно, двухфазный Обмотки статора в корпусе двигателя запитываются последовательно. Каждое электронное изменение фазы один раз, магнитный динамический потенциал статора Fa повернулся на 60 ° пространственный электрический угол, это шаг магнитного динамического потенциала, интервал времени 60 ° электрический угол, Fa совершил прыжок. Хотя ротор вращается непрерывно, режим вращения магнитного момента статора является шаговым типом, который отличается от реального вращающегося магнитного момента синхронного двигателя переменного тока. Угол пространства Fa BLDCM и магнитный момент ротора Ff всегда находится в диапазоне 60 ° ~ 120. ° диапазон периодических изменений, среднее значение 90 °, что гарантирует, что статор и магнитный момент ротора Fa, Ff взаимодействия, чтобы получить средний максимальный электромагнитный крутящий момент T, сильное сопротивление непрерывному вращению ротора с постоянными магнитами.
Принцип работы бесщеточный двигатель постоянного тока аналогичен щеточному двигателю постоянного тока. Закон силы Лоренца гласит, что пока проводник с током находится в магнитном поле, на него будет действовать сила. Из-за силы реакции на магнит будут действовать равные и противоположные силы. Когда ток проходит через катушку, генерируется магнитное поле, которое создается магнитными полюсами статора, причем гомополярности отталкивают друг друга, а анизотропные полюса притягивают друг друга. Если направление тока в катушке постоянно изменять, то полюса магнитного поля, индуцируемого в роторе, также будут непрерывно меняться, и тогда ротор будет все время вращаться под действием магнитного поля.
В двигателях BLDC постоянные магниты (ротор) находятся в движении, а проводник с током (статор) неподвижен.

Когда катушка статора получает питание от источника питания, она становится электромагнитом и начинает генерировать однородное магнитное поле в воздушном зазоре. Коммутатор генерирует сигнал переменного напряжения трапециевидной формы, несмотря на то, что источником питания является постоянный ток. Ротор продолжает вращаться за счет силы взаимодействия электромагнитного статора и ротора с постоянными магнитами.
Переключив обмотки на сигналы высокого и низкого уровня, соответствующие обмотки возбуждаются как северный, так и южный полюса. Ротор постоянного магнита с южным и северным полюсами совмещен с полюсами статора, что приводит во вращение двигатель.

Бесщеточные двигатели постоянного тока бывают трех конфигураций: однофазные, двухфазные и трехфазные. Среди них наиболее распространенным является трехфазный BLDC.
Способ вождения бесщеточный двигатель постоянного тока можно разделить на различные методы вождения по разным категориям:
В соответствии с формой сигнала привода: прямоугольный привод, этот метод привода удобен в реализации, легко реализовать двигатель без управления датчиком положения.
Синусоидальный привод: этот метод привода может улучшить эффект работы двигателя и сделать выходной крутящий момент равномерным, но процесс реализации относительно сложен. В то же время этот метод имеет два способа SPWM и SVPWM (пространственно-векторная ШИМ), SVPWM лучше, чем SPW.
▷ Высокая выходная мощность
▷ Малый размер и вес
▷ Хорошая теплоотдача и высокая эффективность
▷ Широкий диапазон рабочих скоростей и низкий электрический шум.
▷ Высокая надежность и низкие требования к техническому обслуживанию.
▷ Высокий динамический отклик
▷ Низкий уровень электромагнитных помех
▶ Электронный контроллер, необходимый для управления этим двигателем, стоит дорого.
▶ Требуется сложная схема привода.
▶ Требуются дополнительные датчики положения (FOC не используется)
Бесщеточные двигатели постоянного тока широко используются в различных приложениях, таких как промышленное управление (бесщеточные двигатели постоянного тока играют важную роль в промышленном производстве, таком как текстильная, металлургия, полиграфия, автоматизированные производственные линии, станки с ЧПУ и т. д.), автомобильная промышленность (двигатели встречается в дворниках, электрических дверях, автомобильных кондиционерах, электрических стеклоподъемниках и других частях автомобиля.), авиация, системы автоматизации (в быту распространены принтеры, факсы, копировальные аппараты, жесткие диски, дисководы гибких дисков, кинокамеры и т. д.). ., в их шпинделе и вспомогательном управлении движением все имеют бесщеточные двигатели постоянного тока.) Кроме того, медицинское оборудование (более распространено использование бесщеточных двигателей постоянного тока, может использоваться для привода небольшого кровяного насоса в искусственном сердце; в стране хирургические высокоскоростные аппараты для высокоскоростных центрифуг, тепловизионные и термометрия инфракрасного лазерного модулятора используются бесщеточные двигатели постоянного тока.) Различные нагрузки в таких областях, как постоянная нагрузка и приложения позиционирования.
Категория проекта | Бесщеточный двигатель постоянного тока | Щеточный двигатель постоянного тока |
Структура | Постоянный магнит в качестве ротора, электропривод в качестве статора. | Постоянный магнит в качестве ротора, электропривод в качестве статора. |
Обмотки и катушечные звенья | Характеристики коллекторного двигателя, длительный срок службы, отсутствие помех, отсутствие необходимости в обслуживании, низкий уровень шума, высокая цена. | Тепловыделение |
Хороший | Бедный | коммутация |
Электронный коммутатор с электронными схемами | Механический контакт между щеткой и выпрямителем | Датчик положения ротора |
Элементы Холла, оптические энкодеры и т. д. или генераторы противопотенциалов. | Саморазмножение кистями | Саморазмножение кистями |
Разворот | Изменение последовательности переключения электронного рулевого механизма | Изменение полярности напряжения на клеммах |
Сравнение преимуществ и недостатков | Хорошие механические характеристики и характеристики управления, длительный срок службы, отсутствие помех, низкий уровень голоса, но более высокая стоимость. | Хорошие механические характеристики и управление, высокий уровень шума, электромагнитные помехи. |
В настоящее время ведущими компаниями в отрасли BLDC являются ABB, AMTEK, Nidec, Minebea Group, Textronic, United Motion Technologies, Baldor Electronics, North American Electric Company, Schneider Electric и RegalBeloit Corporation.
Бесщеточный двигатель постоянного тока (BLDC) — это тип синхронного двигателя, в котором магнитное поле, создаваемое статором, и магнитное поле, создаваемое ротором, имеют одинаковую частоту. Он широко используется благодаря своим преимуществам: высокой выходной мощности, низкому электрическому шуму, высокой надежности, высокому динамическому отклику, меньшему количеству электромагнитных помех и лучшему крутящему моменту.
Структура Бесщеточный двигатель постоянного тока показано ниже (в качестве примера — двигатель с пазами, внешним ротором, без датчика):
![]()
Бесщеточный двигатель состоит из передней крышки, средней крышки, магнита, листа кремниевой стали, эмалированной проволоки, подшипника, вращающегося вала и задней крышки. Среди них магнит, подшипник и вращающийся вал составляют ротор двигателя; Статор двигателя состоит из листа кремнистой стали и эмалированной проволоки. Передняя, средняя и задняя крышки составляют корпус двигателя. Важные компоненты описаны в следующей таблице:
| Компоненты | Описание | |
Ротор | Магнит | Важный компонент бесщеточного двигателя. С ним связано подавляющее большинство рабочих параметров бесщеточного двигателя; |
| Ось вращения | Непосредственно нагруженная часть ротора; | |
Несущий | Являются гарантией бесперебойной работы двигателя; в настоящее время в большинстве бесщеточных двигателей используются радиальные шарикоподшипники; | |
Ротор | Кремниевый стальной лист | Лист кремниевой стали является важной частью бесщеточного двигателя с прорезями, основная функция которого заключается в уменьшении магнитного сопротивления и участии в работе магнитной цепи; |
| Эмалированный провод | В качестве находящегося под напряжением проводника обмотки катушки; благодаря переменной частоте и форме тока вокруг статора формируется магнитное поле, приводящее ротор во вращение; |
Ротор бесщеточный двигатель постоянного тока (BLDC) состоит из постоянных магнитов с несколькими парами полюсов, расположенных поочередно в соответствии с N- и S-полюсом (с учетом параметра пары полюсов).

Статор бесщеточный двигатель постоянного тока (BLDC) состоит из листа кремнистой стали (рисунок ниже) с обмотками статора, размещенными в пазах, разрезанных аксиально вдоль внутренней оси (учитывается параметр количество полюсов сердечника (количество пазов N). Каждая обмотка статора состоит из ряда катушек, соединенных между собой. Обычно обмотки располагаются в виде трехсоединенной звезды.
![]()

Катушки тройного соединения звезды, по способу соединения катушек обмотки статора можно разделить на трапециевидные и синусоидальные. Разница между ними заключается в основном в форме волны генерируемой противоэлектродвижущей силы. Как следует из названия: трапециевидная обмотка статора создает трапецеидальную противоэлектродвижущую силу, а синусоидальная обмотка создает синусоидальную противоэлектродвижущую силу. Это показано на рисунке ниже:

PS: Когда двигатель питается без нагрузки, форму сигнала можно измерить осциллографом.
Бесщеточный двигатель постоянного тока (BLDC) в зависимости от распределения ротора можно разделить на двигатель с внутренним ротором, двигатель с внешним ротором; В зависимости от фазы привода можно разделить на однофазный двигатель, двухфазный двигатель, трехфазный двигатель (наиболее распространенное использование); в зависимости от того, разделен ли датчик на сенсорные моторы и несенсорные моторы и так далее; Классификаций моторов много, по причине простора, чтобы не описывать здесь братьев, заинтересованных в собственном понимании.
Бесщеточные двигатели Их можно разделить на двигатели с внешним ротором и двигатели с внутренним ротором в зависимости от рядной структуры ротора и статора (как показано ниже).
| Мотор | Описательный |
Двигатель с внешним ротором | Внутренняя обмотка катушки под напряжением служит статором, а постоянные магниты соединены с корпусом в качестве ротора; в просторечии: ротор снаружи, статор внутри; |
Двигатель с внутренним ротором | Внутренние постоянные магниты связаны с валом как с ротором, с обмоткой катушки под напряжением и с корпусом как со статором. Обычно: ротор внутри, статор снаружи; |
Разница между двигателем с внутренним и внешним ротором
Помимо разной последовательности ротора и статора, существуют также следующие различия между двигателями с внутренним и внешним ротором:
Характеристики | Двигатель с внутренним ротором
| Внешний роторный двигатель |
Плотность мощности | Выше
| Ниже
|
Скорость | Выше
| Ниже |
Низкая стабильность
| Ниже
| Выше
|
Расходы
| Относительно выше Относительно | Ниже
|
Тепловыделение
| Посредственный | Хуже Лучше |
Пары полюсов
| Меньше
| Более
|
| Параметр | Описание |
| Номинальное напряжение | Для бесщеточных двигателей подходят очень широкий диапазон рабочих напряжений, а этим параметром является рабочее напряжение при заданных условиях нагрузки. |
| Значение КВ | Физическое значение: скорость в минуту при рабочем напряжении 1 В, то есть: скорость (без нагрузки) = значение KV * Рабочее напряжение для бесщеточных двигателей с указанием размера: 1. Число витков обмотки большое, значение KV низкое, максимальное. выходной ток мал, а крутящий момент велик; 2. Меньше витков обмотки, высокое значение KV, максимальный выходной ток, небольшой крутящий момент; |
| Крутящий момент и скорость | Крутящий момент (момент, крутящий момент): вращающий момент, создаваемый ротором двигателя, может использоваться для приведения в действие механической нагрузки; Скорость: скорость двигателя в минуту; |
| Максимальный ток | Максимальный ток, который выдерживает и работает безопасно |
| Кормчатая конструкция | Количество полюсов сердечника (количество пазов N): количество пазов листа кремнистой стали статора; Количество полюсов из магнитной стали (номер полюса P): количество магнитной стали на роторе; |
| Индуктивность статора | Индуктивность на обоих концах обмотки статора покоящегося двигателя |
| Сопротивление статора | Сопротивление постоянному току каждой фазной обмотки двигателя при 20 ℃ |
| Сопротивление постоянному току каждой фазной обмотки двигателя при 20 ℃ | В заданных условиях, когда обмотка двигателя разомкнута, значение линейной наведенной электродвижущей силы, создаваемой в обмотке якоря на единицу скорости |
Бесщеточные двигатели относятся к самокоммутирующему типу (самопереключение направления) и поэтому более сложны в управлении.
Управление двигателем BLDC требует знания положения ротора и механизма, с помощью которого двигатель подвергается корректирующему рулевому управлению. Для управления скоростью с обратной связью существуют два дополнительных требования, а именно измерения скорости ротора/или тока двигателя и сигналы ШИМ для управления мощностью скорости двигателя.
Двигатели BLDC могут иметь либо боковые, либо центральные сигналы ШИМ в зависимости от требований применения. Большинству приложений требуется только операция изменения скорости, и они будут использовать 6 отдельных сигналов ШИМ, выровненных по сторонам.
Это обеспечивает самое высокое разрешение. Если приложение требует позиционирования сервера, энергетического торможения или реверсирования мощности, рекомендуется использовать дополнительные сигналы ШИМ с центральным выравниванием. Для определения положения ротора в двигателях BLDC используются датчики Холла, обеспечивающие определение абсолютного положения. Это приводит к использованию большего количества проводов и увеличению затрат. Бездатчиковое управление BLDC устраняет необходимость в датчиках Холла и вместо этого использует противоэлектродвижущую силу двигателя (электродвижущую силу) для прогнозирования положения ротора. Бездатчиковое управление имеет решающее значение для недорогих устройств с регулируемой скоростью, таких как вентиляторы и насосы. Бездатчиковое управление также требуется для компрессоров холодильников и кондиционеров, когда используются двигатели BLDC.
Большинству двигателей BLDC не требуется дополнительная ШИМ, вставка времени холостого хода или компенсация времени холостого хода. Единственными приложениями BLDC, для которых могут потребоваться эти функции, являются высокопроизводительные серводвигатели BLDC, двигатели BLDC с синусоидальным возбуждением, бесщеточные двигатели переменного тока или синхронные двигатели ПК.
Для управления двигателями BLDC используется множество различных алгоритмов управления. Обычно силовые транзисторы используются в качестве линейных регуляторов для управления напряжением двигателя. Этот подход непрактичен при приводе двигателей большой мощности. Мощные двигатели должны управляться ШИМ и требуют микроконтроллера для обеспечения функций запуска и управления.
Напряжение ШИМ для управления скоростью двигателя
Механизм выпрямления и коммутации двигателя
Методы прогнозирования положения ротора с использованием обратной электродвижущей силы или датчиков Холла
Широтно-импульсная модуляция используется только для подачи переменного напряжения на обмотки двигателя. Эффективное напряжение пропорционально рабочему циклу ШИМ. При правильной коммутации выпрямителя характеристики крутящего момента BLDC такие же, как и у следующих двигателей постоянного тока. Переменное напряжение можно использовать для управления скоростью и переменным крутящим моментом двигателя.

Коммутация силового транзистора позволяет соответствующей обмотке статора генерировать лучший крутящий момент в зависимости от положения ротора. В двигателе BLDC MCU должен знать положение ротора и иметь возможность выполнить коммутацию в нужный момент.
Один из самых простых способов Бесщеточные двигатели постоянного тока заключается в использовании так называемой трапецеидальной коммутации.

В этой схеме ток контролируется парой клемм двигателя одновременно, в то время как третья клемма двигателя всегда электронно отключена от источника питания.
Три устройства Холла, встроенные в большой двигатель, используются для выдачи цифровых сигналов, которые измеряют положение ротора в секторе 60 градусов, и передают эту информацию контроллеру двигателя. Поскольку поток тока равен в двух обмотках одновременно и равен нулю в третьей, этот метод создает пространственный вектор тока только с одним из шести общих направлений. Когда двигатель управляется, ток на клеммах двигателя электрически переключается (выпрямляемая коммутация) один раз на 60 градусов вращения, поэтому пространственный вектор тока всегда находится на ближайшем сдвиге фазы на 90 градусов.

Таким образом, форма волны тока в каждой обмотке имеет трапециевидную форму: начинается с нуля и переходит к положительному току, затем к нулю, а затем к отрицательному току. Это создает текущий пространственный вектор, который приближается к сбалансированному вращению, поскольку он увеличивается в 6 различных направлениях при вращении ротора.
В двигателях, таких как кондиционеры и холодильники, использование датчиков Холла не является постоянным. Для достижения тех же результатов можно использовать датчики обратного потенциала, наведенного в несвязанных обмотках.
Такие системы трапециевидного привода очень распространены из-за простоты их схем управления, но они страдают от проблем с пульсациями крутящего момента во время выпрямления.
Коммутации трапециевидного выпрямителя недостаточно для обеспечения сбалансированного и точного управления двигателем BLDC. Это происходит главным образом потому, что крутящий момент, создаваемый в трехфазной сети бесщеточный двигатель (с синусоидальной волной, противодействующей электродвижущей силе) определяется следующим уравнением:
Крутящий момент вращающегося вала = Kt[IRSin(o)+ISSin(o+120)+ITSin(o+240)]
Где: o — электрический угол вращающегося вала; Kt — постоянная крутящего момента двигателя IR, IS и IT для фазного тока, если фазный ток синусоидальный: IR = I0Sino; IS = I0Sin (+120о); IT = I0Sin (+240o)
получим: крутящий момент вращающегося вала = 1,5I0 * Kt (постоянная, не зависящая от угла вращающегося вала)
Контроллер бесщеточного двигателя с синусоидальной коммутацией выпрямителя пытается управлять тремя обмотками двигателя тремя токами, которые плавно изменяются синусоидально по мере вращения двигателя. Соответствующие фазы этих токов выбираются так, чтобы они создавали гладкие пространственные векторы тока ротора в направлениях, ортогональных ротору, с инвариантностью. Это устраняет пульсации крутящего момента и импульсы рулевого управления, связанные с поворотом на север.
Для создания плавной синусоидальной модуляции тока двигателя при вращении двигателя необходимо точное измерение положения ротора. Приборы Холла обеспечивают лишь приблизительный расчет положения ротора, чего для этой цели недостаточно. По этой причине требуется угловая обратная связь от энкодера или аналогичного устройства.

Поскольку токи обмоток должны быть объединены для создания плавного постоянного пространственного вектора тока ротора, и поскольку каждая из обмоток статора расположена под углом 120 градусов друг от друга, токи в каждой группе проводов должны быть синусоидальными и иметь фазовый сдвиг 120 градусов. . Информация о положении от энкодера используется для синтеза двух синусоидальных волн со сдвигом фаз между ними в 120 градусов. Эти сигналы затем умножаются на команду крутящего момента, так что амплитуда синусоидальной волны становится пропорциональна требуемому крутящему моменту. В результате две команды синусоидального тока правильно сфазированы, создавая таким образом вращающийся пространственный вектор тока статора в ортогональном направлении.
Командные сигналы синусоидального тока выводятся на пару ПИ-регуляторов, которые модулируют ток в двух соответствующих обмотках двигателя. Ток в третьей обмотке ротора представляет собой отрицательную сумму токов управляемых обмоток и поэтому не может управляться отдельно. Выходной сигнал каждого ПИ-регулятора передается на ШИМ-модулятор, а затем на выходной мост и на две клеммы двигателя. Напряжение, подаваемое на третью клемму двигателя, получается из отрицательной суммы сигналов, подаваемых на первые две обмотки, которые соответственно используются для трех синусоидальных напряжений, расположенных на расстоянии 120 градусов друг от друга соответственно.
В результате фактическая форма выходного тока точно отслеживает синусоидальный управляющий сигнал тока, а результирующий пространственный вектор тока плавно вращается, чтобы быть количественно стабилизированным и ориентированным в желаемом направлении.
Результат стабилизированного управления синусоидальным выпрямителем в целом не может быть достигнут с помощью управления трапециевидным выпрямителем. Однако из-за его высокой эффективности при низких скоростях двигателя он отделяется при высоких скоростях двигателя. Это связано с тем, что по мере увеличения скорости регуляторы возврата тока должны отслеживать синусоидальный сигнал возрастающей частоты. В то же время они должны преодолеть противодействующую электродвижущую силу двигателя, амплитуда и частота которой увеличиваются по мере увеличения скорости.
Поскольку ПИ-регуляторы имеют конечный коэффициент усиления и частотную характеристику, постоянные во времени помехи в контуре управления током будут вызывать запаздывание фазы и ошибки усиления тока двигателя, которые увеличиваются с увеличением скорости. Это будет мешать направлению текущего пространственного вектора относительно ротора, вызывая тем самым смещение от квадратурного направления.
Когда это происходит, определенный ток может создать меньший крутящий момент, поэтому для поддержания крутящего момента требуется больший ток. Эффективность снижается.
Это снижение будет продолжаться по мере увеличения скорости. В какой-то момент смещение фаз тока превышает 90 градусов. Когда это происходит, крутящий момент снижается до нуля. Благодаря комбинации синусоидальных значений скорость в указанной выше точке приводит к отрицательному крутящему моменту и, следовательно, не может быть реализована.
Скалярное управление (или управление В/Гц) — это простой метод управления скоростью командного двигателя.
Для реализации технологии в основном используется стационарная модель командного двигателя, поэтому переходные процессы невозможны. В системе нет токовой петли. Для управления двигателем трехфазное питание меняется только по амплитуде и частоте.
Крутящий момент двигателя изменяется в зависимости от магнитных полей статора и ротора и достигает пика, когда эти два поля ортогональны друг другу. При скалярном управлении угол между двумя магнитными полями значительно варьируется.
Векторное управление позволяет снова создать ортогональность в двигателях переменного тока. Чтобы управлять крутящим моментом, каждый из них генерирует ток из генерируемого магнитного потока, что обеспечивает отзывчивость машины постоянного тока. Векторное управление двигателем переменного тока аналогично управлению двигателем постоянного тока с независимым возбуждением.
В двигателе постоянного тока энергия магнитного поля ΦF, создаваемая током возбуждения IF, ортогональна потоку якоря ΦA, создаваемому током якоря IA. Эти магнитные поля развязаны и стабилизированы относительно друг друга. В результате, когда ток якоря контролируется для управления крутящим моментом, энергия магнитного поля остается неизменной и реализуется более быстрый переходный процесс.
Полеориентированное управление (FOC) трехфазного двигателя переменного тока заключается в имитации работы двигателя постоянного тока. Все контролируемые переменные математически преобразуются в постоянный ток вместо переменного тока. его целевой независимый контроль крутящего момента и потока.
Существует два метода управления ориентацией поля (FOC): Прямой FOC: направление магнитного поля ротора (угол потока ротора) рассчитывается непосредственно наблюдателем потока. Непрямой FOC: направление магнитного поля ротора (угол потока ротора) определяется косвенным путем путем оценки. или измерение скорости ротора и скольжения (скольжения).
Векторное управление требует знания положения потока ротора и может быть рассчитано с помощью усовершенствованных алгоритмов, использующих знания токов и напряжений на клеммах (с использованием динамической модели асинхронного двигателя переменного тока). Однако с точки зрения реализации потребность в вычислительных ресурсах имеет решающее значение.
Для реализации алгоритмов векторного управления могут использоваться разные подходы. Методы прямой связи, оценка модели и методы адаптивного управления могут использоваться для улучшения реакции и стабильности.
В основе алгоритма векторного управления лежат два важных преобразования: преобразование Кларка, преобразование Парка и обратное им. Использование переходов Кларка и Парка позволяет контролировать ток ротора в области ротора. Это позволяет системе управления ротором определять напряжение, которое следует подавать на ротор, чтобы максимизировать крутящий момент при динамически изменяющихся нагрузках.
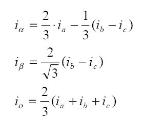
Преобразование Кларка. Математическое преобразование Кларка преобразует трехфазную систему в двухкоординатную систему:

Где Ia и Ib — компоненты ортогональной базы данных, а Io — неважный гомопланарный компонент.

Трехфазный ток ротора в сравнении с вращающейся системой отсчета

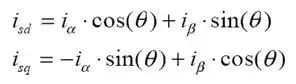
Преобразование парка: математическое преобразование парка преобразует двунаправленную статическую систему во вращающийся системный вектор.
Представление двухфазного кадра α,β вычисляется посредством преобразования Кларка, а затем подается в модуль векторного вращения, где он поворачивает угол θ, чтобы он соответствовал кадру d,q, связанному с энергией ротора. Согласно приведенному выше уравнению реализуется преобразование угла θ.
Преобразование Кларка использует трехфазные токи IA,IB, а также IC, которые в фазе статора с фиксированной координатой преобразуются в Isd и Isq, которые становятся элементами преобразования Парка d,q. Преобразование Кларка основано на модели потоков двигателя. Токи Isd,Isq и мгновенный угол потока θ, которые рассчитываются на основе модели потока двигателя, используются для расчета электрического крутящего момента асинхронного двигателя переменного тока.

Эти производные значения сравниваются друг с другом и с эталонными значениями и обновляются ПИ-регулятором.
| Параметр управления | Контроль В/Гц | Яри контроль | Безсенсорный сагиттальный контроль |
| Регулировка скорости | 1% | 0 001% | 0 05% |
| Регулировка крутящего момента | Бедный | +/- 2% | +/- 5% |
Модель двигателя | Не | Требовать | Нужна точная модель |
| Вычислительная мощность микроконтроллера | Низкий | Высокий | Высокий +ЦСП |
Неотъемлемым преимуществом векторного управления двигателем является то, что можно использовать тот же принцип для выбора соответствующей математической модели для отдельного управления различными типами двигателей переменного, постоянного и постоянного тока.
Двигатель BLDC является основным выбором для векторного управления с ориентацией поля. Бесщеточные двигатели с FOC могут достигать более высокого КПД, до 95%, а также очень эффективны для двигателей на высоких скоростях.

В этом режиме обмотка питается в следующем порядке: AB/CD/BA/DC (BA означает, что обмотка AB питается в обратном направлении). Эта последовательность называется однофазным полношаговым режимом или волновым режимом. В любой момент времени взимается только одна дополнительная плата.
В этом режиме две фазы заряжаются вместе, поэтому ротор всегда находится между двумя полюсами. Этот режим называется двухфазным полным шагом. Этот режим является нормальной последовательностью привода биполярного двигателя и обеспечивает максимальный крутящий момент.
В этом режиме мощность будет однофазно-ступенчатой и двухфазно-ступенчатой: однофазная мощность, затем двойное добавление мощности, а затем однофазная мощность... Таким образом, двигатель работает с шагом в полшага. Этот режим называется полушаговым режимом, и эффективный угол шага двигателя на возбуждение уменьшается вдвое, а выходной крутящий момент также снижается.
Вышеупомянутые три режима можно использовать для вращения в противоположном направлении (против часовой стрелки), но не в обратном порядке.
Обычно шаговый двигатель имеет несколько полюсов, чтобы уменьшить угол шага, но количество обмоток и последовательность привода постоянны.
Общее управление скоростью двигателя, особенно использование двух цепей двигателя: управление фазовым углом, управление прерывателем ШИМ.
Управление фазовым углом — это самый простой метод управления скоростью двигателей общего назначения. Скорость контролируется путем изменения угла дуги точки симистора. Управление фазовым углом является очень экономичным решением, однако оно не очень эффективно и подвержено электромагнитным помехам (ЭМП).

Диаграмма, показанная выше, иллюстрирует механизм управления фазовым углом и представляет собой типичное применение управления скоростью симистора. Фазовое движение затворного импульса симистора создает эффективное напряжение, тем самым создавая различные скорости двигателя, а схема обнаружения пересечения нуля используется для установки опорного сигнала синхронизации для задержки затворного импульса.
ШИМ-управление — это более совершенное решение для общего управления скоростью двигателя. В этом решении силовой MOFSET, или IGBT, включает высокочастотное выпрямленное сетевое напряжение переменного тока, генерируя изменяющееся во времени напряжение для двигателя.

Диапазон частоты переключения обычно составляет 10-20 кГц для устранения шума. Этот метод управления двигателем общего назначения позволяет лучше контролировать ток и улучшать характеристики электромагнитных помех и, следовательно, более высокую эффективность.